设为首页 | 加入收藏 | 今天是2025年10月16日 星期四

聚合智慧 | 升华财富
产业智库服务平台

值得一看
七禾网首页 >> 产业调研报告

调研:亏损也复产,104家电炉厂增产3.7%

最新高手视频! 七禾网 时间:2025-10-16 10:16:24 来源:富宝废钢

报告品种螺纹钢


原文链接:https://mp.weixin.qq.com/s/Pigjup1pjaAZKqg1Qs_sgA


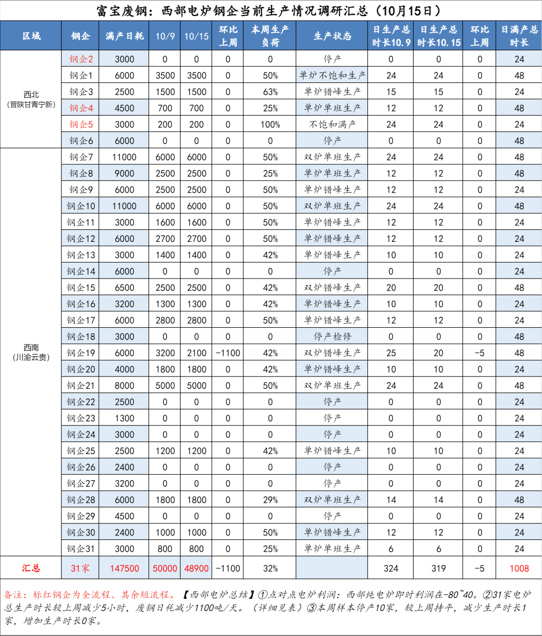
1015日富宝资讯调研的全国104家电炉厂产能利用率为34.4%,废钢日耗21.42万吨,较上周增0.76万吨,增幅3.7%。目前104家电炉厂中,76家在产,停产28家(较上周减4家)。本周电炉日耗上升原因:节后部分电炉厂复产,其中广东广西各新增2家电炉厂复产,福建、江西各新增1家电炉厂复产,河北、湖北各1家电炉厂停产。




具体来看,目前华东18家电炉平均生产时长为9.8小时左右(增0.9小时);华南29家电炉平均生产时长为7.7小时(增1.2小时);西部31家电炉平均生产时长为7.7小时(持平);华中14家电炉平均生产时长为5.3(增0.7小时);京津冀山东区域12家电炉钢企平均生产时长为10.8(减2.9小时)。目前104家样本电炉钢厂平均生产时长在8.3小时(持平)。


利润方面:根据调研华南电炉螺纹吨钢利润亏损-130~-80/吨左右,整体亏损。西部电炉螺纹利润-80~40/吨;华东电炉厂吨钢利润普遍亏损-90~-30/吨左右。


以下为各区域具体调研情况:


1、华东电炉钢企生产情况调研汇总




2、华南电炉钢企生产情况调研汇总




3、华中电炉钢企生产情况调研汇总


4、西部电炉钢企生产情况调研汇总




七禾带你去调研,最新调研活动请扫码咨询


更多调研报告、调研活动请扫码了解

【免责声明】本文仅代表作者本人观点,与本网站无关。本网站对文中陈述、观点判断保持中立,不对所包含内容的准确性、可靠性或完整性提供任何明示或暗示的保证。请读者仅作参考,并请自行承担全部责任。

本网站凡是注明“来源:七禾网”的文章均为七禾网 www.7hcn.com版权所有,相关网站或媒体若要转载须经七禾网同意0571-88212938,并注明出处。若本网站相关内容涉及到其他媒体或公司的版权,请联系0571-88212938,我们将及时调整或删除。

联系我们

七禾研究中心负责人:翁建平
电话:0571-88212938
Email:57124514@qq.com

七禾科技中心负责人:相升澳
电话:15068166275
Email:1573338006@qq.com

七禾产业中心负责人:洪周璐
电话:15179330356

七禾财富管理中心
电话:13732204374(微信同号)
电话:18657157586(微信同号)

七禾网

沈良宏观

七禾调研

价值投资君

七禾网APP安卓&鸿蒙

七禾网APP苹果

七禾网投顾平台

傅海棠自媒体

沈良自媒体

© 七禾网 浙ICP备09012462号-1 浙公网安备 33010802010119号 增值电信业务经营许可证[浙B2-20110481] 广播电视节目制作经营许可证[浙字第05637号]

认证联盟

技术支持 本网法律顾问 曲峰律师 余枫梧律师 广告合作 关于我们 郑重声明 业务公告

中期协“期媒投教联盟”成员 、 中期协“金融科技委员会”委员单位